分享成功

【2024邯郸市中考成绩一分一档表出炉啦!】

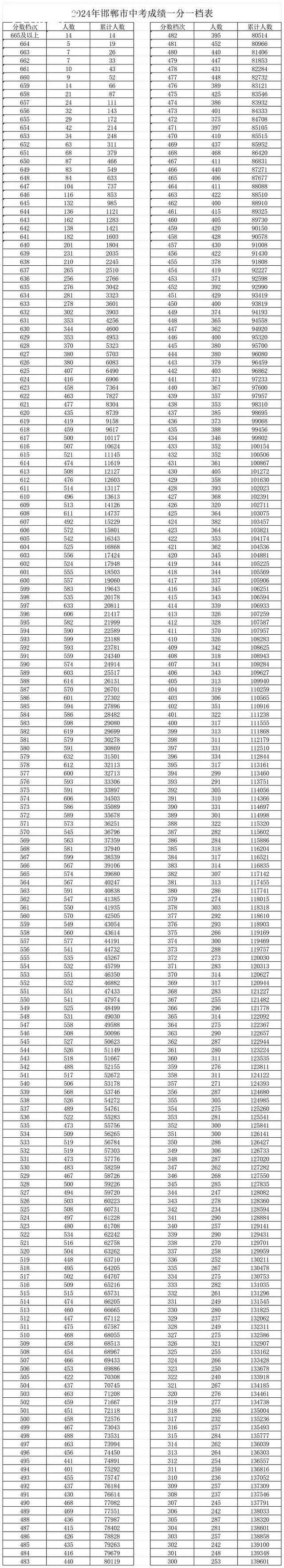
就在刚刚,2024年邯郸市中考成绩一分一档表出炉了!大家一起快来看看吧!【图片来源于网络】

 

复兴区实验小学
本文来自网友发表,不代表本网站观点和立场,如存在侵权问题,请与本网站联系删除!
热门评论
  • NO1知足常乐 LV18 太上皇
    2楼
    2024邯郸市中考成绩一分一档表出炉啦。
    7-5 05:24 · 河北
    1 回复
  • 温超工作室( LV17 皇帝 认证 楼主
    3楼

    NO1知足常乐 发表于 2024-7-5 05:24 2024邯郸市中考成绩一分一档表出炉啦。

    不得不说,太卷了
    7-14 21:48 · 河北
    回复
打开大邯郸APP,与楼主互动
你的热评
游客
发表评论
最热拍日常
  • 衡水湖 #随拍#

    我们一起去旅行

    1
  • 如果女性面对求婚时表示沉默,其态度也可以被认为同意结婚。

    温超工作室(

    1
  • 臭椿果 椿树垂枝挂彩笺, 橙黄翅果忆童年。 邯郸旧巷风摇落, 曾作飞蝶伴少年。

    乡村时事追踪者

    1
  • #每天一条邯友圈#

    凭栏观柳

    0
热点推荐

安装应用

大邯郸APP,知晓邯郸事儿

免费下载大邯郸
这是app专享内容啦!
你可以下载app,更多精彩任你挑!
绑定手机才能继续哦!
绑定手机账号更安全哦!
绑定手机才能继续哦!
绑定手机账号更安全哦!